
これを覚えていなければお話にならない基本中の基本知識をミニクイズ形式で反復練習するページです。
ある程度の段階まで学習を進めて、記憶の定着を図りたい人向けに作成しております。
初学者の方は、まずは参考書等で公式の意味を理解するところから始めてみてください。
本日は、機械科目の直流機です。
それでは早速はじめていきます。
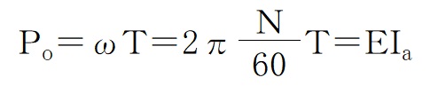
問1 フレミングの右手の法則に基づく起電力eの公式 問2 フレミングの左手の法則に基づく電磁力Fの公式 問3 重ね巻の並列回路数a、ブラシの数、特徴を述べよ 問4 波巻の並列回路数a、ブラシの数、特徴を述べよ 問5 直流発電機の誘導起電力Eの公式 問6 直流電動機のトルクの公式 問7 直流電動機の出力の公式 問8 分巻式電動機の特性曲線を描け